社区绿意环绕,四季繁花相伴,低密园林静谧雅致。推窗见景,鲜氧充盈,一步一景皆是诗意。户型通透,配套完善,宜居舒适。安家于此,尽享自然与生活的美好。
绿城·春晓园 咨询热线:400-8800-430
臻美园林社区,绿树成荫,曲径通幽,静谧宜居。鲜氧环绕,视野开阔,远离喧嚣。全明户型,品质居所,让生活与自然相融。好房静待品鉴,置业优选。
绿城·春晓园 VIP 热线:400-8800-430

绿城大虹桥首作
徐泾「绿城·春晓园 」
最新鸟瞰图
均价60910元/㎡
建面约100-150㎡3-4房
编辑

8月2日上海二批次土拍第二轮,绿城以总价285574万元竞得青浦区徐泾镇双联路北侧36-01地块,地块出让面积35225.20㎡,容积率2.2,溢价率10%,楼板价36850元/㎡,房地联动价62000元/㎡。
地块详情:
编辑

地块名称:青浦区徐泾镇双联路北侧36-01地块
四至范围:东至官路浜、南至双联路、西至经五路、北至徐德路
土地属性:普通商品房
出让面积:3.52公顷
容积率:2.2
建筑面积:77495.44㎡
住宅套数:685套
套均面积:约113㎡
编辑

项目对于内部公共空间的设计规划有着明确的要求,包括公共设施、环形跑道、架空层、连廊等,可以满足对高端改善需求的期待,联动价6.2万/㎡!
编辑

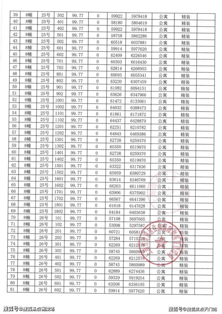
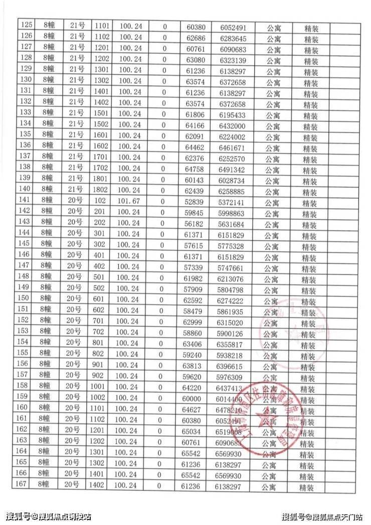
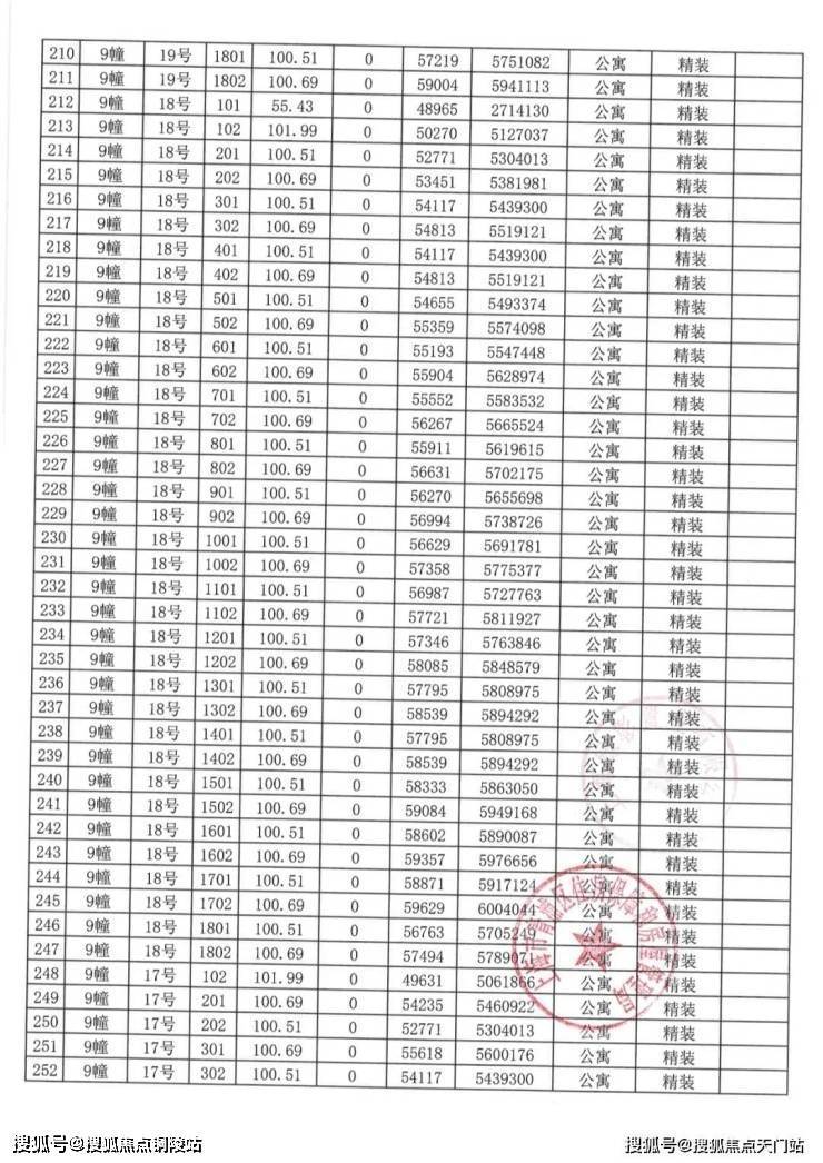
一房一价表:
编辑

编辑

编辑

编辑

编辑

编辑

编辑

交通方面: 项目地块与17号线徐盈路站的步行距离仅约1公里。
编辑

商业方面: 项目地处西虹桥15分钟生活圈城市样板区域,步行约1公里即可到达约10万方的西上海新晋网红商业中心——天空万科广场!
编辑

教育方面: 徐盈国际住区足足规划了多宗教育用地,将成为整个大虹桥的教育高地。随着众多优质学校先后进驻徐泾,徐泾国际住区的教育资源也越来越强,从小学到高中全覆盖!
城芯好房热销中|绿城·春晓园官方售楼处预约电话:400-8800-430
宽境美宅,恭迎品鉴|绿城·春晓园VIP 热线:400-8800-430
安家优选,席位递减|绿城·春晓园咨询热线:400-8800-430