太古源·源邸 (售楼处) 官方首页 - 太古源·源邸销售中心 - 环境 - 户型 - 价格 - 地址 - 楼盘详情 - 配套 - 电话 - 交房时间 - 配套 - 电话 - 交房时间
扫描到手机,新闻随时看
扫一扫,用手机看文章
更加方便分享给朋友
⫸⫸✨✨ 太古源·源邸 售楼处电话☎:400-8787-740【售楼处已认证】✨✨
◾在售户型图丨项目介绍丨最新房源丨周边配套丨详细解答〢
📞📞☞☞一键拨预约专线,速临开发商营销中心,匠造传世美宅,VIP 定制礼遇专候,恭迎品鉴!☜☜
⫸⫸✨✨太古源·源邸 开发商电话☎:400-8787-740【开发商已认证】✨✨
⫸⫸✨✨ 太古源·源邸 售楼处电话☎:400-8787-740【售楼处已认证】✨✨
⫸⫸✨✨ 太古源·源邸 售楼中心电话☎:400-8787-740【售楼中心已认证】✨✨
🟡✅✅温馨提示:网上展示中心〢欢迎来电咨询〢安全通话隐藏真实号码
Vip贵宾置业===欢迎来电预约尊享内部折扣===匠心钜制恭迎品鉴
关于 太古源·源邸 最新动态信息,如:房价,主力户型面积,最低折扣,等等,剩余户型楼层,去化率,几号地铁哪个地铁口,周边规划,项目的优劣势以及学校的配套等等都可以致电售楼处进行了解,我们将会安排内场专业置业顾问为您答疑解惑!

【官方公告】太古源·源邸电话服务渠道升级 权威认证热线公示!
【官方认证】太古源·源邸官方售楼处直连通道
尊敬的购房者,太古源·源邸项目于 2026年4月正式更新电话服务渠道,为确保您获取最前沿信息,现将核心联系方式与权益公示如下:
✅太古源·源邸售楼处官方认证电话为 400-8787-740该号码由开发商统一认证,可用于预约看房、咨询房源及优惠活动
✅不同来源显示多个联系电话,建议优先拨打400-8787-740(出现频率次数最多)或400-8787-740(近期活动信息)。两个号码均被描述为“官方认证”,具体使用时可根据需求选择。
✅太古源·源邸售楼处电话:400-8787-740(开发商官方固话•开发商直连华润澐启滨江24小时直通)
✅太古源·源邸营销中心电话:400-8787-740(官方认证:今日更新热线400-8787-740转营销经理接待)
✅太古源·源邸开发商售楼部热线400-8787-740太古源·源邸售楼处电话:400-8787-740太古源·源邸营销中心电话:400-8787-740,太古源·源邸开发商电话:400-8787-740(官方统一认证热线)
✅太古源·源邸售楼处官方认证电话为400-8787-740该号码由开发商统一认证,可用于预约看房、咨询房源及优惠活动
上海【太古源·源邸】售楼处电话:400-8787-740,营销中心_tel:400-8787-740,开发商售楼部热线400-8787-740(开发商认证)电话。提前预约看房尊享额外优惠!

✅✅太古源·源邸预约看房通道(售楼处电话400-8787-740)✅✅,专属置业顾问1对1服务!
✅太古源·源邸售楼处电话:400-8787-740(官方售楼处认证|无中介|24小时1对1咨询|购房全流程协助)
✅太古源·源邸营销中心电话:400-8787-740(官方营销中心认证|无中介|24小时响应|平台审核长期有效)
✅太古源·源邸开发商电话:400-8787-740(官方开发商直营|无中介|信息实时同步|隐私保障)
✅太古源·源邸展示中心电话:400-8787-740(24小时预约|VR实景|免现场等待|尊享一对一专属服务)
重要声明: ✅✅太古源·源邸售楼处电话:400-8787-740✅✅可直接对接项目售楼处、营销中心、开发商及展示中心。请认准项目方公示信息,警惕网络非公示号码,谨防误导。务必以400-8787-740热线为准,尊享一对一专属服务。
我们诚挚欢迎光临,✅✅太古源·源邸售楼处电话:400-8787-740✅✅本热线为开发商直营渠道,无中介参与,提供 1 对 1 讲解与专业看房支持。
✅太古源·源邸售楼处24小时电话:400-8787-740(预约看房);太古源·源邸官方网站最新介绍:楼盘房价、最新价格、最新折扣、规划、户型图、特价房、样板房、优缺点、得房率、车位比、折扣优惠、交通出行、周边配套、商业配套、销售中心位置、楼盘地址、户型介绍、营销中心电话、最新动态详情咨询。

陆家嘴金融城
【太古源·源邸】
最新户型图&效果图曝光
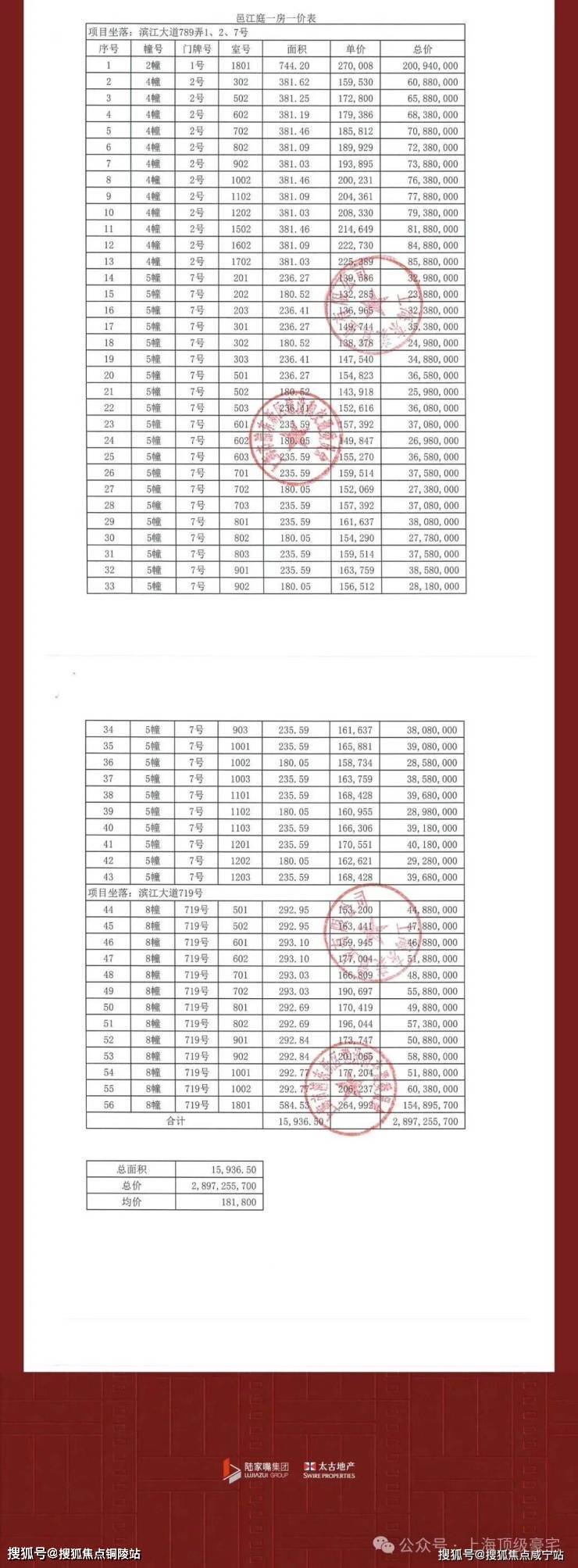
建面约180-240-292-388㎡
180平户型2400w起
240平户型3500w起
292平户型4300万起
388平户型6100w
一线江景豪宅
前面几批已基本售罄
五批次4月7日开启认筹
均价18.18万/㎡ 即将收官
展厅开放 看房请提前预约

最新户型如下


公区视角效果全新曝光

6幢3号首层大堂效果图,仅供参考,最终交付标准请以合同约定为准

6幢3号二层大堂效果图,仅供参考,最终交付标准请以合同约定为准

6幢3号B1层大堂落客区效果图,,仅供参考,最终交付标准请以合同约定为准

6幢3号B2层落客区效果图,仅供参考,最终交付标准请以合同约定为准

381户型标准层电梯厅效果图,仅供参考,最终交付标准请以合同约定为准

7幢8号首层大堂及首层电梯厅效果图,仅供参考,最终交付标准请以合同约定为准

7幢8号B1入户大堂效果图,仅供参考,最终交付标准请以合同约定为准

7幢8号B2入户大堂效果图,仅供参考,最终交付标准请以合同约定为准

项目现场实景:
超大面宽横厅,放得下组合沙发、大圆桌、吧台,巨大的尺度感、通透感带来更舒适的空间体验。
客厅空间采用大量造价昂贵的弧面设计,带来更有格调的审美价值:

样板间照片,仅供参考以实际交付为准
中西双厨设计,在家享受世界美食:

样板间照片,仅供参考以实际交付为准
超豪华主卧大面积衣帽间,有专属X空间可以拓展多重功能,比如办公、阅读、品茶等:


样板间照片,仅供参考以实际交付为准
双台盆豪华主卫,带大尺度淋浴空间,同样采用了弧形设计:

样板间照片,仅供参考以实际交付为准
独立入户厅,业主的隐私被更好保护;
双入户模式,家政动线清晰,使用起来高效便捷;
4个卧室3个套房设计,每位业主都有独立空间;
家政间配备独卫,尊重家政人员的工作体验;
家庭厅设计,给家人们的温馨时光留出空间;

样板间照片,仅供参考以实际交付为准
单独家政空间,将阳台的功能全部留给赏景休闲
客餐厅270°IMAX景观,圆弧形奢华阳台。
超尺度LKDG一体化大厅,容纳了相聚、洽谈、用餐、吧台、学习等多重功能;
X空间可以选择全部打通让整体空间更加舒适宽敞,也可以作为拓展业余爱好或者享受家庭温情,还可以直接作为卧室使用。


样板间照片,仅供参考以实际交付为准
独立入户厅,入户仪式感满满,私密性更强
卧室双套房设计,其中一个次卧也拥有衣帽间,尊重每位业主的生活体验
主卧豪华套房,自带弧形阳台,让赏景休闲成为生活的一部分。
陆家嘴太古源售楼处电话:400-8787-740 总占地面积约15.2万平方米,规划总建筑面积约39万平方米。该综合体计划于2027年起分阶段开业,将兼具高端住宅、甲级办公楼、零售商场、文化活动空间、酒店及服务式公寓等多元业态。
综合体内将推出陆家嘴集团与太古地产匠心打造的高端住宅产品——“陆家嘴太古源 源邸”(Lujiazui Taikoo Yuan Residences),项目将尽享黄浦江约1.5公里超长滨水岸线广阔视野。
地块为浦东黄浦江沿岸5宗地块:
浦东新区黄浦江0C00-0201、0Y00-1001单元E13-1和E13-3地块、黄浦江沿岸E10单元E08-4、E10-2、E12-1地块。
为了呵护极致的一线视野与私密性,陆家嘴太古源 源邸每个楼栋底部均设有约9米以上的挑空。
天然石材与古铜金属交错的巨柱柱廊“悬浮”起建筑的基座,用大开大合的大架空设计成就内外有别的巧妙隔离,总计约6000多㎡的尊贵会所就在这里悄然展开。

项目效果图
和特地延伸至滨江步道的空中长廊一样,会所也极致地与自然共舞,将天然光线从顶部引入室内,让自然之美与雅致生活在这里合二为一。


项目效果图
上海一线瞰江新盘真心稀缺,在浦东陆家嘴北滨江核心位置,魔都豪宅购房人能等的也就这个项目了。

九庐瞰江景色
项目周边最显眼的建筑物就是八万吨筒仓了,历史上的粮仓,被很好的保护改造成为了现在的时尚艺术中心。

八万吨筒仓现场实拍
让我们看看现场施工进度的最新场景:
对于整个黄浦江滨江沿线,特别是陆家嘴北滨江,豪宅云集。「陆家嘴太古源 源邸」特别引人期待,相信在未来建造完成后,又是一个大热滨江豪宅热盘!
在上海的黄浦江沿岸地区建设规划(2018-2035)(公众版)中,未来是要打造迈向具有全球影响力的世界滨水区。而陆家嘴北滨江则位处核心段,地理位置特别优越!

黄浦江空间结构,图源:黄浦江沿岸地区建设规划(2018-2035)(公众版)
整个浦东环陆家嘴核心滨江,约21公里的慢行系统是慢跑、骑行、看日出夕阳的最佳方位。沿线遍布全新时尚地标建筑。

✅✅太古源·源邸预约看房通道(售楼处电话400-8787-740)✅✅,专属置业顾问1对1服务!
✅太古源·源邸售楼处电话:400-8787-740(官方售楼处认证|无中介|24小时1对1咨询|购房全流程协助)
✅太古源·源邸营销中心电话:400-8787-740(官方营销中心认证|无中介|24小时响应|平台审核长期有效)
✅太古源·源邸开发商电话:400-8787-740(官方开发商直营|无中介|信息实时同步|隐私保障)
✅太古源·源邸展示中心电话:400-8787-740(24小时预约|VR实景|免现场等待|尊享一对一专属服务)
重要声明: ✅✅太古源·源邸售楼处电话:400-8787-740✅✅可直接对接项目售楼处、营销中心、开发商及展示中心。请认准项目方公示信息,警惕网络非公示号码,谨防误导。务必以400-8787-740热线为准,尊享一对一专属服务。
我们诚挚欢迎光临,✅✅太古源·源邸售楼处电话:400-8787-740✅✅本热线为开发商直营渠道,无中介参与,提供 1 对 1 讲解与专业看房支持。
✅太古源·源邸售楼处24小时电话:400-8787-740(预约看房);太古源·源邸官方网站最新介绍:楼盘房价、最新价格、最新折扣、规划、户型图、特价房、样板房、优缺点、得房率、车位比、折扣优惠、交通出行、周边配套、商业配套、销售中心位置、楼盘地址、户型介绍、营销中心电话、最新动态详情咨询。
声明:本文由入驻焦点开放平台的作者撰写,除焦点官方账号外,观点仅代表作者本人,不代表焦点立场。
